Погода: 5 °C
09.042...6переменная облачность, без осадков
10.040...2пасмурно, снег с дождем
  • Кто хочет/может?
    Сколько может стоить жилье, не супер конечно, обычный домик для проживания?
    Сколько примерно нужно денег ежемесячно, чтоб было в кармане, чтоб не голодать, но и без шика?
    Какие могут возникнуть трудности?
    Что с визой?

    Ну, и кто что может подсказать, посоветовать......

    Если у вас кривые ноги, маленькая грудь и некрасивое лицо - рубите лес, мстите природе!

    *взяла топор, ушла рубить*

  • В интернете ответов на эти вопросы - горы. Достаточно спросить у яндекса.

    Можете исходить из той суммы, которую вы тратите в Новосибирске - как минимум это будет ориентир, на который вы гарантированно точно там сможете вести такой же образ жизни, как здесь (речь о том, что здесь вы либо смотрите вечером ТВ - это одни расходы, либо каждую ночь зависаете в ресторане - другие расходы).

  • Не понимаю людей, задающих такие вопросы, вы же сами все знаете, вот ваша цитата от вчерашнего дня:
    В ответ на: ...а вообще щас сижу думаю, сдать свою квартиру и уехать жить в тай, там можно снять жилье за 5000 бат в месяц и на 15000 бат прекрасно жить! вот только кто со мной поедет.....
    А для такой жизни,
    В ответ на: так я и там ни чё не построю, жизнь батона на пляжу хочу))(
    вы всё правильно посчитали

    За 5 000 (без коммуналки и платы за вентилятор) в Паттае снимете клоповик в жопе мира, а на 15 будете (- 2000 на виза рыны только отнимите) прожигать жизнь
    В ответ на: на пляжу лежать, в океане купаться....)

    Исправлено пользователем Евгенн (27.09.13 14:32)

  • Домик? Это дорогое удовольствие. Без шика и мало укомплектованный мебелью, вдали от моря и общественного транспорта можно найти за 25-30 тыс в месяц при условии контракта на год. Если это будет не отдельно стоящий дом, а на 2-х хозяев и с маленькими тесными комнатами, то с такими же условиями, далеко от моря можно найти за 13-16 тыс в месяц. Квартира далеко от моря: общага без кондиционеров 3-4 тыс в месяц, студия без кухни в кондоминиуме от 6 тыс, с кухней от 8 тыс, с отдельной спальней от 10 тыс, с 2-мя спальнями от 13 тыс. Если есть бассейн, то еще дороже. Чем ближе к морю, тем еще дороже. Это цены при условии контракта на год. Если меньше, цена сильно повышается.
    Сколько нужно на проживание? Сложный вопрос. Во-первых сколько нужно платить за электричество. Цена может быть от 3,5 до 9 бат за юнит. У нас минимальный тариф и за 3 комнаты мы платим около 3000 бат в месяц. Плюс вода примерно 200 бат. Интернет 630 бат. Телевизор, как договоритесь, мы платим 7000 в год, на месяц будет дороже. Плюс подключение (редко где в стоимость аренды входит ТВ, а если и входит, то цена аренды будет больше). Снять мотобайк (а без него так далеко от моря и транспорта делать нечего) - 2500-3000 бат в месяц не новый и не большой. Бензин примерно 1000 в месяц, смотря как ездить и куда. Виза 2000 бат каждый месяц. Лежак на пляже 50 бат в день или 1500 бат в месяц. Питание примерно 500 бат в сутки, если не шиковать, или 15000 в месяц.

    Итого около 26 тыс в месяц, плюс аренда жилья и шмотки.

    Всегда только правда.

  • В ответ на: Питание примерно 500 бат в сутки, если не шиковать, или 15000 в месяц.
    это же ваши расходы на троих?

  • можно и на троих, конечно. Когда-то мы так и жили. Но человек хочет приехать и не напрягаться. Да и цены за то время выросли. Теперь за 500 на 3-х в день трудно прожить. Хотя... Если по одному простенькому блюду 3 раза в день, то это 50х3=150. 150х3=450 бат. Можно. Но без пива и напитков. И очень скромно. И опять же 3-м проще. Купили рыбу за 120 бат и все поели. А когда один, то рыба все-равно стоит 120 бат. Только на одного. И еще нужно кушать только тайскую кухню. Если кушать европейскую, то и в 500 бат в сутки на одного не вложишься.

    Всегда только правда.

  • Да уж... картинка сочно нарисована. :respect:

    Зато потом можно всем рассказавать (как некоторые тут на форуме и делают, собственно) "Я в Таиланде живу, а вы тут всё перебиваетесь кое-как, лохи!"

  • На 20 тыс (с жильем), жить не получится. Максимально экономно продержаться может получится :dnknow:
    Только тогда про батониться на море тоже не очень реально, потому как самое дешевое жилье не на берегу моря находится, а в Паттайе на отдаленных улицах. Т.е. нужно еще и транспортые расходы добавить..., ну и море в Паттайе весьма сомнительное. :ухмылка:

    В такой ситуации как вариант лучше ехать компанией, чтобы оплату того же жилья делить на несколько человек. Ну и сильно-сильно полюбить рис за 50 батт :хехе:

    Своё счастье я узнаю из тысячи…Оно смотрит на меня моими глазами! :wub1.gif:

    Исправлено пользователем Lazura (30.09.13 07:45)

  • ну вот товарищ там у меня живет. 7 тыс (емнип) за студию в кондо с территорией, бассейном и тренажеркой, +коммуналка. 3-4 тыс на еду. остальное - на излишества и копит даже.
    хотя, если "дом" в вопросе ТСа понимать буквально, то поболее денег надо, конечно.

  • Очень экономный у вас товарищ :live: Я даже не представляю, где и что можно есть, чтобы 3-4 тыс в месяц уходило :а\?: А с жильем это отдельная история, он поди не одну студию сменил пока этот вариант нашел, сходу вряд ли что то аналогичное можно найти

    Своё счастье я узнаю из тысячи…Оно смотрит на меня моими глазами! :wub1.gif:

  • Если не секрет, чем человек там занимается? Я просто не представляю себе ситуацию, при которой можно пол года батоница и нифига не делать....скучно же и отупеть можно при таком образе жизни :dnknow:

    Своё счастье я узнаю из тысячи…Оно смотрит на меня моими глазами! :wub1.gif:

  • он там работает несколько лет. ) уже выучил тайский - это огромный плюс и значительно расширяет сферу деятельности.
    кстати, да - если снимать на полгода, то, скорее всего, это же жилье дороже будет.

  • В ответ на: он там работает несколько лет. ) уже выучил тайский
    Ну так это кординально меняет суть дела.

    Своё счастье я узнаю из тысячи…Оно смотрит на меня моими глазами! :wub1.gif:

  • 3000 на питание? Это 100 бат в сутки? То есть он кушает 2 раза в день какое-то самое дешевое блюдо (готовить себе он не может, ведь за 7000 в кондо кухни не будет, значит покупает). Мне его жаль. Зачем такая жизнь? Тем более, если здесь работает, то почему не может себе позволить хотя бы рыбки купить, хотя бы раз в неделю? Здесь же зарплаты нормальные. Тем более, если выучил тайский (его и за 5 лет не выучишь нормально). Что-то мне кажется, что врет Ваш товарищ. А жилье по такой цене только при контракте на год получится. А вопрошающий имеет ввиду пол года. А это совершенно другая цена.

    Всегда только правда.

  • В ответ на: Здесь же зарплаты нормальные.
    В ответ на: Зачем такая жизнь?
    это его личное дело. не у всех же стоит цель по максимуму прожрать заработанное. )
    В ответ на: (его и за 5 лет не выучишь нормально).
    он живет там около этого или даже больше. сначала ходил на курсы, потом сам по себе. в том числе принципиально дружил только с тайками, которые не знают английский. сейчас его работа на телефоне и заключается в ведении переговоров с тайцами на тайском. да и в его фейсбуке я вижу, как он бодро чатится по-тайски с друзьями. у всех способности разные. с собой-то не надо сравнивать - вы замкнуты на семье и общение, по большей части, на вашем родном языке, а он там один. да и помоложе существенно.
    ЗЫ. уточнил. его жилье с кухней и стоит счас 8 тыс. сорри за дезу. )

  • я сужу по детям, какие учатся в тайских школах и разговаривают только на тайском в этих школах. Буквально сегодня общался с мамой такой девочки. Она учится в школе 5 лет. Мама говорит, что разговаривать-то она может, но литературного языка все-таки не понимает. Тем более, что здесь куча наречий разных.

    А вот 8 тыс за кондо с кухней это уже реальнее при контракте на год.

    Всегда только правда.

  • Хотел, мог и пожил.
    По своему опыту скажу. Жил на острове Самуи. Год 2013.
    Домик: 11 т.р.
    Байк: 2700 р.
    Другие расходы: страховка, еда, бордер-раны.

  • Жили 2011-2012 зимой в Паттайе на Тепразите 8 сойка, снимали жилье с бассейном , кандером 30 м кв и балкон 10 м кв 3 эт . При помесячной оплате оно стоит 19500 бат , а при 3 месячном договоре 6500*3 + 5000 депозита из которого и будут высчитывать воду 300 бат и электрич 10 бат. Получилось 23 т. б. за 3 месяца .

    И с едой там по ценам гораздо интереснее и дешевле в 3 раза чем на Джомтьене . Супчики 30-35 бат с мясом , 25 с травой и тарелки огромные , второе блюда 35-55 б. Брали на двоих 1 суп и бекон с лапшой или рисом , всегда недоедали ну и по бутылочке сингхи 35+55 б. ммм . Или брали рыбу за 120 б. жареную на углях мммм очень большая и вкусная, всегда свежая .. Даже зимуя на Джомтьене частенько ездили на этот рынок за рыбкой и курочкой в тесте за 20 бат . Сами тоже готовили дома , восновном салаты , бутеры и бекон . С друзьями жарили шашлыки, плов . Если без выпивки то вполне бы на еду хватило и 7-10 т. б. в месяц с излишиствами )). Мы бюджет закладываем 1 месяц 2.5 , 2мес -2 и 3 -1.5 т. долларов , в среднем 60 т. бад ни вчем не отказывая ,почти )))

  • Арендовать апартаменты в Самуи можно за 10 тысяч в высокий сезон и 8500 в низкий... в МЕСЯЦ. Ссылку давать не буду. Но поверьте, так оно и стоит там. Знакомая летает уже пятый раз. По ее словам еда если тайская от 50 до 150 за один прием пищи, если европейская еда, то от 150 до 300. Да даже если на пару месяцев туда поехать все равно в разы выгодней чем через турфирму. Да, апартаменты рядом с собственным пляжем

    Скупой платит дважды, а лох платит всегда...(c) (TORCON)

  • Это цена за месяц, на 2-е недели будет либо так же, либо не сдадут вовсе. Это цена на бунгало, т.е. без кухни "на машине до купального пляжа". Такие цены как правило на долгий срок. На НГ надеяться на такие цены не стоит. Жильё тайстаил.

  • Ну вот только сказки тут, пожалуйста, не рассказывайте:улыб:
    За 8500 вы будете жить в домике из картона, даже без вентилятора и далеко не рядом с морем. Может вашу знакомую такой образ жизни и устраивает, но могу вас заверить, он подойдет далеко не каждому:улыб:

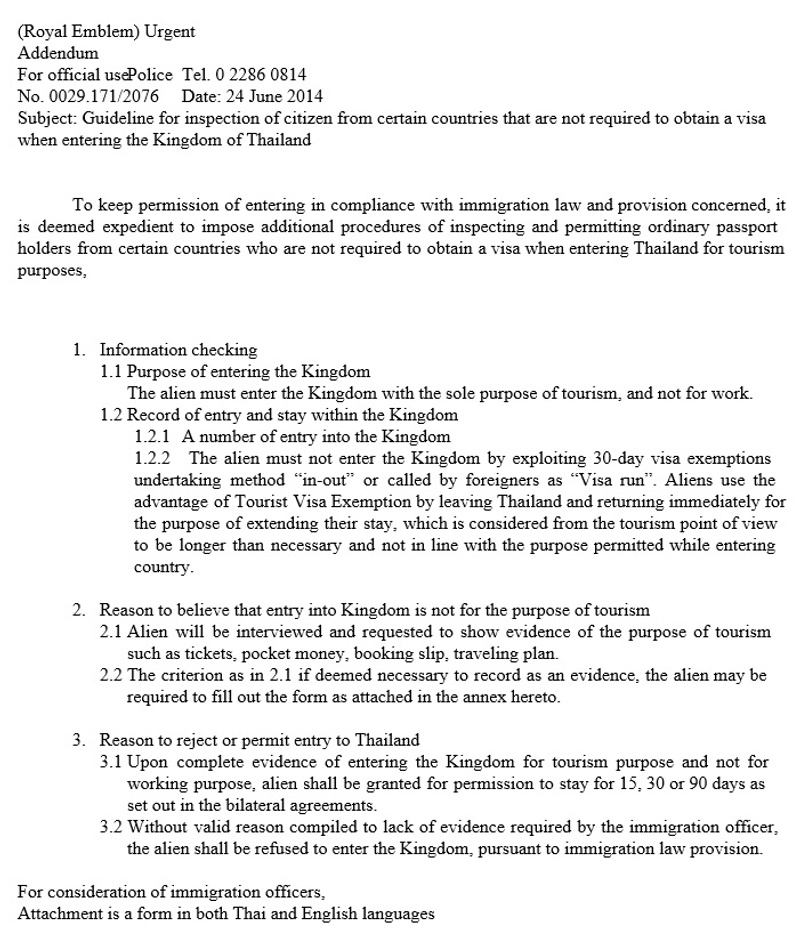
  • Изменили условия по продлению пребывания в Таиланде.
    Подскажите - в Новосибирске кто оформляет визы на 90 дней в Таиланд?

  • С профильного форума:

    В ответ на: Визу категории "О" я всегда во Владивостоке делал, но сейчас там не делают визы. Хочу почтой в Москву послать документы, но напрягает одно; требования к документам в Москве и Владивостоке разные.
    В ответ на: тольо то им звонила. по почте доки не принимают. надо приезжать лично
    Так что в Новосибе - никто (это ж почта).
    Но до зимы может облагоразумится это дело.

  • Разъяснения по-поводу длительного проживания.
    Находиться до 90 дней ( за 180 дней ) можно по тур визе, а не штампу.
    При этом турвиза оформляется до въезда в Тай.
    Въезд по штампу разрешен только 1 раз в полгода.

  • В ответ на: Въезд по штампу разрешен только 1 раз в полгода.
    Чушь какая. То есть, по вашим словам, выходит что если захочется использовать тай в качестве транзитной страны по дороге, скажем, на Филиппины, вам предложат пойти лесом?

  • не про транзитные цели наверное имеется ввиду.
    Сейчас в таиланде очень ужесточают борьбу с туристами которые живут годами по различным схемам.
    Есть много инфы в инете.
    Например эта:

    Пока нет официальной информации на официальных же сайтах (ну да в Таиланде это в порядке вещей), но из достоверных источников, заслуживающих полного доверия, стало известно, что практику бордер-ранов прекратили со 2 июля 2014 года, не дожидаясь 12 августа 2014 г. - даты, объявленной ранее официально.
    При этом соглашение о безвизовом въезде между РФ и Таиландом действует, как и раньше, но въехать по нему можно не более одного раза (второй въезд подряд запрещен), на срок до 30 дней. Остальные детали еще уточняются.

    Начиная со 2 июля 2014 года на пограничном переходе с Малайзией, куда ездили все бордер-ран компании Самуи, а в последнее время не только Самуи, но и из Краби, и Пукета, теперь могут сделать "выход-вход" только те, кому нужно активировать очередную часть визы (то есть люди активируют второй въезд по двукратной туристической визе и т.п.). У остальных, у кого закончился срок разрешенного пребывания, вариант только один - выезд из Таиланда. Либо домой, в Россию, либо в соседнюю с Таиландом страну, и там в консульстве оформлять визу. Иначе начнется оверстей.

    Кстати, об оверстее.
    Мы и раньше предупреждали, что с такой вещью, как оверстей в Таиланде не стоит шутить, а уж теперь, когда нарушителей решили вносить в черный список и запрещать въезд в Таиланд - вообще стало строго. Люди реально попадают в тайские тюрьмы на срок от одного до двух лет, и это всего лишь за оверстей чуть больше месяца. Так что мы настоятельно рекомендуем не прибегать к такой крайней мере, и заранее оформлять тайскую визу, если ваш срок поездки в Таиланд больше срока, разрешенного по соглашению о безвизовом въезде.

    Ну а теперь немного истории. Как оно было, с чего началось, и чем всё закончилось.

    На сайте Иммиграцонного ведомства Королевства Таиланд еще 8 мая 2014 года было размещено официальное уведомление о начале принятия мер по пресечению практики бордер-ранов, которую иностранные граждане использовали годами для полулегального пребывания в стране.

    В уведомлении говорилось о том, что постепенно, по мере готовности, пограничные переходы будут предупреждать граждан, совершающих подобные поездки с целью продления своего пребывания в Таиланде, о недопустимости таких действий в дальнейшем, а затем и закрывать такую возможность совсем.
    И начиная с 12 августа на любом пограничном переходе, будь то наземный или авиа-переход, если офицер заподозрит вас в совершении бордер-рана, то он будет не только иметь право, нет, он будет просто обязан отказать вам во въезде в страну.

    Большинство тех, кто совершал бордер-раны с Самуи в период с конца мая по начало июня подписали бумагу (текст был почему-то на тайском), в которой такое извещение было прописано. Однако, кто из нас принимает всерьез какие-то предупреждения, да еще и на непонятном тайском языке?! Поэтому люди были шокированы, когда 9 июня 2014 года их реально начали разворачивать на границе, отправляя обратно в Таиланд, в иммиграционный офис, где можно легально продлить свой текущий штамп на 7 дней, и за эти 7 дней приготовиться либо покинуть страну, либо заняться оформление документов для получения визы в Таиланд.

    Мы обратились за разъяснениями к официальным источникам (состоялся телефонный разговор с Иммиграционным ведомством в Бангкоке), и нам подтвердили, что да - практика бордер-ранов прекращается постепенно, и сейчас руки дошли до Самуи и остальных регионов, которые делали бордер-ран до границы с Малайзией (переход Куан-Дон). Касательно остальных переходов информации пока нет, но до 12 августа они все до единого перестанут разрешать "выход-вход" для продления безвизового пребывания в Королевстве Таиланд (использование нескольких виз подряд, с активацией через тот же "вход-выход", даже через авиа-переходы - также будут пресекаться).


    Повторим еще раз: Вариант решения возникшей "проблемы" (запрета бордер-ранов) - получение визы на весь период запланированного пребывания в Таиланде.

    Для краткосрочных поездок - получение туристических виз (суммарно не более 180 дней в году).
    Для постоянного пребывания - учебные, пенсионные, рабочие и т.д. годовые (см. статью о визах в Таиланд).
    Получить визу можно и в консульстве в Кота-Бару.

    При этом соглашение между Таиландом и РФ о безвизовом въезде продолжает действовать в прежнем режиме. Добавилось лишь одно ограничение: используя соглашение о безвизовом въезде, турист может сделать только один, первый, въезд. Затем или домой, в РФ, или, если хотите отдыхать в Таиланде и дальше, - получайте визы.


    Будьте внимательны к визовым правилам, и ваш отпуск в Таиланде пройдет столь же прекрасно, как и всегда!

    Уточнение информации от 8 июля 2014: после въезда в Таиланд самолетом по соглашению о безвизовом въезде один бордер-ран допускается. Но только в том случае, если "история" вашего паспорта наглядно показывает, что вы - действительно турист, и не находитесь в Таиланде длительный срок.
    Возможно, это уточнение касается только южных погран-переходов, куда направляются на бордер-ран с Самуи.

  • Ну смысл, как я понимаю в том, что формализовать это дело не удастся (типа нужно быть за пределами Таиланда более 76 часов 21 минуты чтобы это не считалось бордер-раном) и будет приниматься решение на месте погранцом. Я никогда не баловался зимовьем в Тае, но для меня это удобная точка въезда в ЮВА, я из Тая мотаюсь и в Малайзию, и в Индонезию, и на Филиппины. И иногда у меня бывает три штампа о пересечении за пару недель. И мне бы очень не хотелосьбыть приравняным к суровому бэкпекеру, живущему на 100 баксов в месяц, периодически выбирающемуся на границу с Камбо на предмет продления.

  • В аэропортах всегда будет проще, если вообще будут там что-то закручивать, ибо самолёты - не бэкпекерский вариант. Пока все распоряжения касались сухопутных переходов (морских ведь вроде нет?).
    Хотелось вам или не хотелось, но решение о том пустить или нет - всегда принимал и принимает конкретный погранец.
    Это так, реплики, если позволите.

  • В ответ на: Пока нет официальной информации на официальных же сайтах (ну да в Таиланде это в порядке вещей), но из достоверных источников, заслуживающих полного доверия, стало известно, что практику бордер-ранов прекратили со 2 июля 2014 года,
    А какая должна быть "официальная информация"? можете сказать?
    Закон указывает четко сколько и с какой периодичностью по с какими целями иностранный гражданин может находиться в Таиланде.
    Раньше закрывали глаза, теперь перестали - но какая может быть "официальная информация"? типа "ребята, в 1 числа мы начинаем соблюдать законы"? смешно, правда?

    Но циркуляры на погран-переходы - были. На форумах их выкладывали.

    В ответ на: Мы и раньше предупреждали, что с такой вещью, как оверстей в Таиланде не стоит шутить, а уж теперь, когда нарушителей решили вносить в черный список и запрещать въезд в Таиланд - вообще стало строго.
    Удивительный пассаж. То, что садят - это фигня, в черный список - вот что страшно! ужасы-то какие.

    В ответ на: по пресечению практики бордер-ранов, которую иностранные граждане использовали годами для полулегального пребывания в стране.
    Пол-беды "для пребывания", люди работали нелегально - вот об чем спитч собственно.

  • В ответ на: Ну смысл, как я понимаю в том, что формализовать это дело не удастся ..
    Европа уже давно формализовала. Например, получили шенген визу в Италию, а вы пробыли в Германии две недели. Вопрос- пустят ли вас в шенген на следующий раз?

  • Добавлена 16 июля 2014 на VK
    Расскажу сразу всем, что такое полный <п.5> по тайско -русски! Прилетела вчера в бангкок с россии и меня не впустили.....закрыли в платной тюрьме1000б !ни в какую страну меня не впустят кроме как в россию! Возможности общаться с миром нет! Рядом сидят люди ещё трое.....они с визами....и те же условия выхода от сюда! ни душа, ни курилки ни <п.5> нет!!!!выдали за сутки пачку соевого молока и всё! Со шконок вставать только на вызов сутрудника! разницу между ж и м они не видят, все в одной комнате.
    Предупреждение по п.5 Правил форума.

    Исправлено пользователем Змей Зелёный (18.07.14 21:07)

  • По информации, предоставленной 2THAI.ru источником в отделении Королевской Иммиграционной полиции провинции Чонбури в Паттайе, на практике соблюдение правила о максимальном 90-дневном сроке будет осуществляться следующим образом:

    1. При въезде иностранца в страну офицер пограничного контроля обязан проверить, въезжал ли держатель паспорта в Таиланд в качестве туриста (по безвизовому штампу и/или по туристической визе) течение 6 месяцев, непосредственно предшествующих нынешнему въезду, и если въезжал, то как долго он находился в стране в этом качестве. Если суммарный период пребывания в качестве туриста за эти 6 месяцев составит 90 дней и более, то иностранцу будет отказано во въезде, независимо от наличия у него действительной тайской туристической визы;

    2. Если в течение 6 месяцев, предшествующих въезду, иностранец уже пользовался правом безвизового въезда «по штампу» (даже если суммарный срок нахождения в стране в качестве туриста не превышает 90 дней) и сейчас снова въезжает в Таиланд как турист без визы, то ему должно быть отказано во въезде. Если такой иностранец еще не исчерпал 90-дневный лимит, то он все еще может въехать в Таиланд по туристической визе*.

    *Имеется в виду обычная туристическая виза, получаемая в тайском консульстве за границей, либо Visa on Arrival, или виза по прибытии, получаемая россиянами и гражданами еще полутора десятка государств в тайском аэропорту либо не некоторых наземных погранпереходах.

    Помимо соответствия критериям продолжительности нахождения в стране, для подтверждения своего туристического статуса иностранец должен предъявить офицеру иммиграционной службы по его требованию подтвержденный обратный билет, отельные и трансферные ваучеры, а также подтвердить наличие необходимого числа денежных средств на время нахождения в Таиланде в сумме не менее 20 тыс. батов в любой конвертируемой валюте.

  • "Радостные визовые изменения в Таиланде
    20 Июль 2014 ak4etak
    16049672_dcd78263a5
    Впервые с момента установления в Таиланде военного режима Иммиграционная Служба страны решила ввести хотя бы одно приятные для иностранных граждан правило, сообщает портал ThaiVisa.

    С 29 августа все, кто въехал в Таиланд по штампу (на 30-дневный срок пребывания) смогут продлить его в ближайшем отделении Иммиграционной Службы еще на 30 дней. Фактически турист сможет оставаться в стране 60 дней. Стоимость продления составит 1900 батов. В настоящий момент штампы продлеваются лишь на 7 дней по той же цене за услугу 1900 батов.

    Напомним, с 12 августа иностранцев в Таиланде ожидают другие, менее радостные визовые правила. Практика бордер-ранов, по которой туристы могли ежемесячно выезжать-въезжать в Таиланд в течение одного дня, получая таким образом очередной штамп на 30 дней, будет прекращена как на наземных, так и на авиа переходах страны. В течение полугода турист сможет пребывать в Таиланде не более 90 дней (по штампу, туристической визе или совмещенно). В случае если требуется более длительное пребывание в стране, вам понадобиться оформить соответствующую визу и обосновать необходимость ее оформления.

    ©ThaiVisa"

  • Мы снимали аппартамены с кухней на второй линии от моря, два бассейна, ресторан, уборка два раза в недели. Обошлась в 15 тыс. в месяц. На первой линии перед нами был шведский клуб с двухэтажными котеджами, с индивидуальными бассейнами инфинити к морю. Они стояли 25-30 тыс. в месяц.

    Дело не в том, что я такой умный, а в том, что я долго не сдаюсь при решении задач. (с) Альберт Эйнштейн

  • Въезд в Тай.
    Мой знакомый посещал Бангкок 10 дней в мае 2014.
    Въехал очередной раз 26 июля.
    На таможне не задавали вопросов.
    Сообщу как будет делать продление.

  • Продолжение...
    Штамп в паспорте стоял - можно находится до 24 августа.
    Поэтому 20 августа вечером был выезд в Лаос с организованной группой.
    В Лаосе тур визу на 3 месяца дают без проблем.
    22 августа поздно вечером возвращение в БКК.

  • Ну что, еще одни довоевались.
    Теперь надо тур. поток восстанавливать.

    29 августа 2014 вступили в действие новые правила. Теперь гражданам РФ ставят штамп на 30 дней + еще на 30 дней можно получить продление в имигрейшене никуда не выезжая, заплатить на месте 1900 батов (ранее продлевали только на 7 дней за те же 1900). Плюс официально объявлено о допустимости троекратного получения безвизового штампика на границе, правда, как обычно, некоторая интрига сохранена: не уточнено нужны ли перерывы и если нужны, то какой длительности.

    Итого: 30+30 + 30+30 + 30+30 = 180 дней легальное нахождение в Таиланде с туристическими целями без визы.

  • А где обявлено о многократности???


    Сейчас безвизовый режим в Таиланде предполагает получение по прибытии разрешения на пребывание на территории страны на срок до 30 дней. "Если человек прибыл в Таиланд с туристической целью и желает задержаться, по истечении 30-дневного срока он должен будет обратиться в Иммиграционное бюро и получить разрешение остаться еще на месяц", - сообщил собеседник агентства, уточнив, что воспользоваться этой возможностью иностранцам не разрешено два или более раз подряд. В случае получения отказа продлить месячное пребывание гражданин будет обязан покинуть территорию королевства в течение семи дней.

    Источник: ИТАР-ТАСС
    © EPA/NARONG SANGNAK

  • В выделенном вами - речь про то, что продлевать в имигрейшене безвизовый штамп можно только 1 раз.
    Т.е. на каждый полученный въездной штамп можно получить (а можно и не получить) одно продление на 30 дней.
    Про то, что можно выехать - заехть, снова получив новый безвизовый штамп (стандартная процедура виза-ран) - это отдельная указявка. Собственно оно и было всегда, изменился лишь срок продления с 7 до 30 дней.

  • Только есть одна проблемка - ни кому из русских еще не поставили 30 дней( говорят нет вашей страны в списке (какой то внутренний список видать есть, ситуация на сегодня на Самуи).

  • Практика наземных бордер-ранов полностью запрещена с 12 августа.
    нельзя больше выехать в соседнюю страну и вернуться через 30 минут обратно.

    Идут разговоры, о продлении еще на 30 дней в имигрейшен офисе срока прибывания. Но на вчерашний момент продлевали только на 7 дней.
    В приложении фото разъяснения на английском.

  • Так и я о том же)

  • Хотите больше:
    1. вариант: везд по штампу, потом тур виза
    2. вариант: многократка
    3. WP (воркпермит) на год.

    Пока только такие варианты рабочие.

  • Мне больше не нужно, мне меньше нужно - около 2-х месяцев, из за такого срока делать визу в Москве не хочется заморачиваться, продление +30 было бы оптимально, НО... думаю наладится еще у них там всё!

  • время покажет. новости каждый день приходят. Возможно станет проще. По крайней мере делаются движения в эту сторону.

  • Безвизовые 60 дней в Таиланде для россиян оказались уткой

    C 29 августа 2014 года в силу вступило новое правило Иммиграционного Бюро, направленное на развитие и популяризацию туризма в стране. Согласно ему граждане 48 стран и Гонконга могут получить продление своего въездного штампа на 30 дней вместо обычных 7 по прежней цене в 1900 батов.

    К сожалению, после публикации списка тех самых 48 стран на сайте государственного департамента Таиланда, воодушевленные россияне узнали, что Российская Федерация в него не входит. Фактически для россиян условия остаются прежними: въездной штамп на 30 дней и его продление в офисе Иммиграционной Службы на 7 дней за 1900 батов.

    Источник: samuidays

  • Вроде про какое-то доп. соглашение говорят - но ссылок ни у кого нет.

  • сугубо мое мнение:
    Еслие хать в тай - только на Самуи. Оформлять сразу воркпермит. И по спокойному жить там месяцев 9- потом на 3 в РФ (разгребать дела) и так постоянно.

    Вопрос встает только в источнике финансов.....

  • Не понятно откуда вопрос о финансах у человека, который решил ехать в Тай на 9 месяцев.
    Такое решение, на сколько я понимаю, созревает когда с финансами и их источником уже полный порядок )

  • В ответ на: Еслие хать в тай - только на Самуи
    Ну было бы странно услышать иное направление от человека, являющегося представителем самуйской фирмы. :biggrin:

    Щас придет человек из паттайской фирмы и скажет, что "если ехать в Тай - только в Паттайю".

Записей на странице:

Перейти в форум

Модераторы: